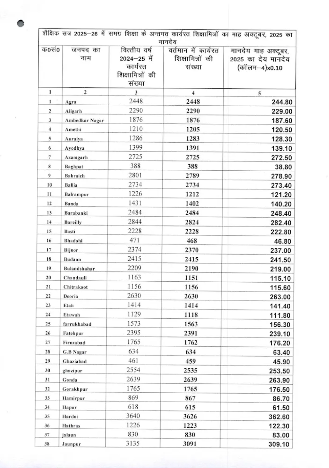
शिक्षामित्र मानदेय माह अक्टूबर, 2025 की धनराशि प्रेषण के सम्बन्ध में।

शिक्षामित्र मानदेय माह अक्टूबर, 2025 की धनराशि प्रेषण के सम्बन्ध में।

Screenshot 2025 11 06 17 57 13 90 f9ee0578fe1cc94de7482bd41accb329 Screenshot 2025 11 06 17 57 24 69 f9ee0578fe1cc94de7482bd41accb329 Screenshot 2025 11 06 17 57 33 62 f9ee0578fe1cc94de7482bd41accb329

Leave a Comment

WhatsApp Group Join